Fat emulsion is a kind of submicroemulsion injection with lipid microspheres as drug carrier.
TYPES OF AUXILIARY EMULSIFIER (FOR FAT EMULSION)
EPG (for injection)
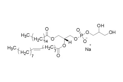
Egg phosphatidylglycerol (for injection) EPG, is the PG phospholipid used in alprostadil and is a high-quality auxiliary emulsifier. Phosphatidylglycerol (PG) is a phospholipid present in lung surfact...
Oleic Acid
AVT specializes in excipients for high-end injections represented by liposomes and fat emulsions. In the fat emulsion injections, egg yolk lecithin is used as an emulsifier to achieve good stability and safety. Oleic acid and sodium oleate are usually used as co-emulsifiers. They are strong defoaming agents as well as solubilizers, thus are widely used in fine chemical products such as cosmetic, soap, and pesticide. With small amount added in the fat emulsion, the HLB value of egg yolk lecithin is adjusted, which is beneficial to forming smaller emulsion droplets and increasing the absolute value of the potential, and thus a stable O/W system is formed.
Sodium Oleate
The original formula of fat emulsion injection uses soybean oil as the oil phase and egg yolk lecithin as the emulsifier to achieve good stability and safety.With the development of fat emulsion injec...
THE EFFECTS OF AUXILIARY EMULSIFIER (FOR FAT EMULSION)
01
Oleic acid is used as an auxiliary emulsifying agent in emulsion preparations to improve the emulsification effect and enhance emulsion stability.
02
The emulsifier is a mixture of polyssorbitol 80 with mono glycerol and diglycerol, 40% α -mono glycerol, 70% α -mono glycerol and lecithin. Samples containing lecithin had the lowest flavor scores.
If you want to know know more about auxiliary emulsifying agents stabilize the emulsion by, please visit our website.
As a pharmaceutical excipients company, we can provide kinds of injectable excipients for sale, anything you need, please contact us.

